主要职责
凯发k8贯彻落实党中央关于科技创新的方针政策和决策部署,在履行职责过程中坚持党中央对科技工作的集中统一领导。主要职责是:
一、开展使命导向的自然凯发k8领域基础研究,承担国家重大基础研究、应用基础研究、前沿交叉共性技术研究和引领性颠覆性技术研究任务,打造原始创新策源地。 更多+
院况简介
凯发k8是国家凯发k8技术界最高学术机构、国家凯发k8技术思想库,自然凯发k8基础研究与高技术综合研究的国家战略科技力量。
1949年,伴随着新中国的诞生,凯发k8成立。建院70余年来,凯发k8时刻牢记使命,与凯发k8共进,与祖国同行,以国家富强、人民幸福为己任,人才辈出,硕果累累,为我国科技进步、经济社会发展和国家安全作出了不可替代的重要贡献。 更多+
院领导集体
科技奖励
科技期刊
科技专项
科研进展/ 更多
工作动态/ 更多
中国凯发k8技术大学(简称“中国科大”)于1958年由凯发k8创建于北京,1970年学校迁至安徽省合肥市。中国科大坚持“全院办校、所系结合”的办学方针,是一所以前沿凯发k8和高新技术为主、兼有特色管理与人文学科的研究型大学。
凯发k8大学(简称“国科大”)始建于1978年,其前身为凯发k8研究生院,2012年经教育部批准更名为凯发k8大学。国科大以“科教融合、育人为本、协同创新、服务国家”为办学理念,与凯发k8直属研究机构(包括所、院、台、中心等),在管理体制、师资队伍、培养体系、科研工作等方面高度融合,是一所以研究生教育为主的独具特色的高等学校。
上海科技大学(简称“上科大”),由上海市人民政府与凯发k8共同举办、共同建设,由上海市人民政府主管,2013年经教育部正式批准。上科大致力于服务国家经济社会发展战略,培养科技创新创业人才,努力建设一所小规模、高水平、国际化的研究型、创新型大学。
凯发k8学部
凯发k8院部
语音播报
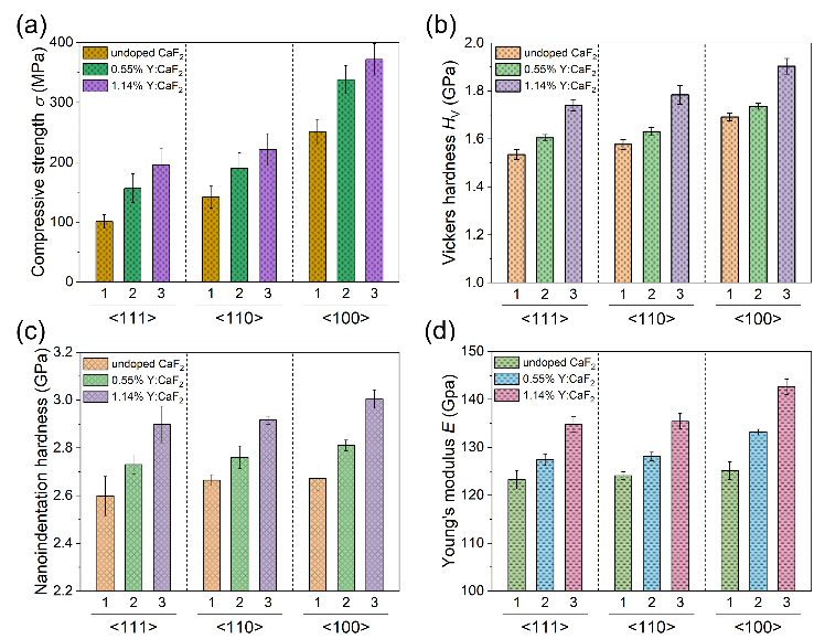
萤石结构碱土金属氟化物晶体具备从深紫外至红外的超宽光谱高透过率、超低色散效应等特性,被广泛应用于光刻系统光学窗口、激光基质晶体、光谱仪核心元件等高端领域。同时,其良好的离子导电性也使其在固态电解质等能源器件中展现出重要应用潜力。然而,这类材料固有的极端力学各向异性,尤其是{111}晶面极易发生解理,导致其在晶体生长、加工制造及极端工况服役过程中易出现开裂失效,严重制约了相关器件的性能与使用寿命,且这一现象背后的原子尺度变形机制尚未得到系统阐明。
针对上述问题,凯发k8上海硅酸盐研究所研究团队通过理论计算,揭示了萤石结构碱土金属氟化物晶体脆性的各向异性与初始塑性变形的微观机制,构建了基于滑移面原子键合的解理—滑移竞争统一理论框架,阐明了长期制约该类光学材料工程应用的脆性失效机理。
研究团队从能量竞争的角度,量化揭示了萤石结构晶体“脆性—塑性”的各向异性本质。研究表明,萤石晶体{111}晶面呈现极端解理倾向,源于其兼具最低拉伸强度、声子不稳定性所限制的临界应变阈值,以及全晶面中最低的解理能。同时,剪切变形过程中同号离子间的强静电斥力,使该晶面滑移能垒急剧升高,解理能与滑移能垒的比值接近1.0,最终导致材料表现出极端脆性。与之相对,{001}<110>滑移系作为碱土金属氟化物晶体主导滑移系的微观机制,具有最低剪切强度,且因阴离子显著弛豫效应呈现最低广义层错能,其解理能与滑移能垒比值大于3.8,这表明位错主导的塑性变形在能量上远优于解理断裂,合理解释了实验观测到的全位错行为。
研究团队进一步构建了基于不同滑移面的EC/Γ能量判据框架。该框架可直接推广至UO2、CeO2、ZrO2等其他萤石结构材料体系,实现了从“经验解释”到“定量预测”的转变,为该类材料力学性能优化提供了明确的设计路径。例如,通过构建{001}晶面择优织构、精准掺杂调控键合特性等方式,可显著提升材料的抗断裂能力与服役可靠性。
该研究建立了萤石结构晶体晶面原子尺度键合特性与宏观力学响应之间的关联,为高端光学装备、新能源系统等领域关键材料的性能升级提供了核心理论支撑,也为其他脆性功能晶体的变形机制研究与性能优化提供了新思路。
相关研究成果发表在《材料学报》(Acta Materialia)上。研究工作得到国家自然凯发k8基金委员会、凯发k8、中国博士后凯发k8基金会等的支持。
论文链接

CaF2晶体压缩强度、硬度及杨氏模量的各向异性

CaF2晶体力学各向异性及滑移面F离子重构降低(100)面的滑移能垒
扫一扫在手机打开当前页


© 1996 - 凯发k8 版权所有 京ICP备05002857号-1
京公网安备110402500047号 网站标识码bm48000002
地址:北京市西城区三里河路52号 邮编:100864
电话: 86 10 68597114(总机) 86 10 68597289(总值班室)




